Phương trình phản ứng oxi hoá - khử là phương trình nào dưới đây?
Phương trình Fe + 3AgNO3 → Fe(NO3)3 + 3Ag vì có sự thay đổi số oxi hóa Fe lên Fe+3 và Ag+ xuống Ag
Phương trình phản ứng oxi hoá - khử là phương trình nào dưới đây?
Phương trình Fe + 3AgNO3 → Fe(NO3)3 + 3Ag vì có sự thay đổi số oxi hóa Fe lên Fe+3 và Ag+ xuống Ag
Cho 1 lít (đktc) H2 tác dụng với 0,672 lít Cl2 (đktc) rồi hòa tan sản phẩm vào nước để được 20 gam dung dịch A. Lấy 5 gam dung dịch A tác dụng với AgNO3 dư được 1,435 gam kết tủa. Tính hiệu suất của phản ứng giữa H2 và Cl2 (giả sử Cl2 và H2 không tan trong nước).
H2 + Cl2 → 2HCl (1)
Vì nH2 > nCl2 nên hiệu suất phản ứng tính theo Cl2.
AgNO3 + HCl → AgCl + HNO3
nHCl (trong 5g A) = nAgCl = 0,01 mol
nHCl (trong 20g A) = 0,01.4 = 0,04 mol
Theo phương trình (1) ta có:
nCl2 p/ứ = 0,5.nHCl = 0,5.0,04 = 0,02 mol
Ở nhiệt độ cao và có xúc tác, phản ứng giữa hydrogen với halogen nào sau đây xảy ra thuận nghịch?
Ở nhiệt độ cao và có xúc tác, phản ứng giữa hydrogen với I2 xảy ra thuận nghịch
Phương trình phản ứng minh họa
H2 + I2 ⇌ 2HI
Nguyên tử N có số oxi hóa bằng 0 trong phân tử nào sau đây?
Số oxi hóa của nguyên tử nguyên tố trong đơn chất bằng 0. Do đó số oxi hóa của N trong đơn chất N2 bằng 0.
Sục khí CO2 vào bình chứa dung dịch Na2CO3. Tốc độ hấp thụ khí CO2 sẽ thay đổi như thế nào nếu thêm HCl vào dung dịch:
Phương trình phản ứng:
CO2 + Na2CO3 + H2O → 2NaHCO3
Khi thêm HCl vào dung dịch giảm (do HCl phản ứng với Na2CO3 làm nồng độ Na2CO3 giảm);
2HCl + Na2CO3 → 2NaCl + CO2 + H2O
Cho vào cốc thủy tinh vài thìa nhỏ tinh thể iodine, miệng cốc được đậy bằng mặt kính đồng hồ. Đun nóng cốc trên ngọn lửa đèn cồn. Hiện tượng quan sát được là
Ở điều kiện thường, I2 ở trạng thái rắn, màu đen tím. Khi đun nóng iodine rắn chuyển dần thành hơi màu tím.
Cho 6 gam một kim loại M chưa rõ hóa trị tác dụng với chlorine thu được 23,75 gam muối. M là:
Phương trình phản ứng:
M + n/2Cl2 → MCln
→
M = 12n
n = 2, M = 24 (Mg) thõa mãn
Tốc độ phản ứng của một phản ứng hóa học là
Phản ứng nào sau đây có thể tự xảy ra ở điều kiện thường?
Phản ứng giữa Fe và dung dịch H2SO4 loãng có thể tự xảy ra ở điều kiện thường
Fe(s) + H2SO4(aq) → FeSO4(aq) + H2(g)
Các phản ứng còn lại cần cung cấp nhiệt thì phản ứng mới xảy ra.
Hỗn hợp X gồm CuO và Fe2O3, Hòa tan hoàn toàn 44 gam X bằng dung dịch HCl dư, sau phản ứng thu được dung dịch chứa 85,25 gam muối. Mặt khác, nếu khử hoàn toàn 22 gam X bằng CO dư, cho hỗn hợp khí thu được sau phản ứng lội từ từ qua dung dịch Ba(OH)2 (dư) thì thu được m gam kết tủa. Giá trị của m là:
Hỗn hợp X gồm CuO và Fe2O3, Hòa tan hoàn toàn 44 gam X bằng dung dịch HCl dư, sau phản ứng thu được dung dịch chứa 85,25 gam muối. Mặt khác, nếu khử hoàn toàn 22 gam X bằng CO dư, cho hỗn hợp khí thu được sau phản ứng lội từ từ qua dung dịch Ba(OH)2 (dư) thì thu được m gam kết tủa. Giá trị của m là:
Gọi x, y lần lượt là số mol của CuO và Fe2O3
Trong 22 gam hỗn hợp X ta có:
80x + 160y = 22 (gam) (1)
Hòa tan hoàn toàn 44 gam X bằng dung dịch HCl dư thu 85,25 gam muối
Hòa tan hoàn toàn 22 gam X thu được 85,25:2= 42,625 gam
CuO + 2HCl → CuCl2 + H2O
x → x (mol)
Fe2O3 + 6HCl → 2FeCl3 + 3H2O
y → 2y (mol)
mmuối = mCuCl2 + mFeCl3
= 135z + 162,5.2y = 42,625 gam (2)
Giải hệ phương trình (1) và (2) ta được: x = 0,075 mol; y = 0,1 mol
CuO + CO Cu + CO2
Fe2O3 + 3CO 2Fe + 3CO2
Ta có: nCO2= nCuO+ 3.nFe2O3= x + 3y = 0,375 mol
CO2 + Ba(OH)2 → BaCO3+ H2O
→nBaCO3= nCO2= 0,375 mol
→mBaCO3= 0,375.197 = 73,875 gam
Phát biểu nào sau đây đúng khi so sánh hai chất C2H5OH và CH3-O-CH3?
Do C2H5OH tạo được liên kết hydrogen với nhau

Do đó cần năng lượng khá cao dưới dạng nhiệt để phá vỡ các liên kết hydrogen trước khi chuyển C2H5OH từ lỏng sang hơi.
⇒ Độ sôi của C2H5OH lớn hơn CH3-O-CH3.
Dãy nguyên tử nào sau đây có bán kính tăng dần?

Theo quy luật biến đổi bán kính trong 1 chu kì và nhóm có bán kính các nguyên tử tăng dần theo thứ tự: F < S < Si < Ge < Ca < Rb.
Khi nhỏ dung dịch AgNO3 vào dung dịch chất nào sau đây sẽ không thu được kết tủa?
Khi đổ dung dịch AgNO3 vào các dung dịch muối NaF, NaCl, NaBr, NaI có hiện tượng:
- Không hiện tượng: NaF (không phản ứng) → không thu được kết tủa
- Xuất hiện kết tủa trắng: NaCl
AgNO3 + NaCl →AgCl↓ + NaNO3
- Xuất hiện kết tủa màu vàng nhạt: NaBr
AgNO3 + NaBr →AgBr↓ + NaNO3
- Xuất hiện kết tủa màu vàng đậm: NaI
AgNO3 + NaI →AgI↓ + NaNO3
Hòa tan 7,5 gam hỗn hợp Mg, Al bằng một lượng vừa đủ dung dịch HCl thu được 7,84 lít khí H2 (đktc) và dung dịch muối. Khối lượng của Mg trong hỗn hợp đầu là bao nhiêu gam?
nH2 = 7,84 : 22,4 = 0,35 mol
Gọi số mol của Mg, Al lần lượt là x, y
Ta có:
24x + 27y = 7,5 (1)
Phương trình phản ứng
Mg + 2HCl → MgCl2 +H2
x → x → x mol
2Al + 6HCl → 2AlCl3 + 3H2
y → y →3y/2 mol
Theo phương trình ta có:
x + 3y/2 = 0,35 (2)
Giải hệ phương trình (1), (2) ta có
x = 0,2; y = 0,1
nMg = x = 0,2 mol => mMg = 0,2.24 = 4,8 gam.
Đặc điểm nào là đặc điểm chung của các đơn chất halogen?
- F2 chỉ có tính oxi hóa, các halogen còn lại thể hiện cả tính khử và tính oxi hóa.
- Các đơn chất halogen đều có tính oxi hóa mạnh.
- F2 và Cl2 ở dạng khí; Br2 dạng lỏng; I2 dạng rắn.
- F2 phản ứng mạnh với nước, Cl2 và Br2 có phản ứng thuận nghịch với nước, còn I2 tan rất ít và hầu như không phản ứng.
Cho các phản ứng:
(1) SiO2 + dung dịch HF →
(2) F2 + H2O ![]()
(3) AgBr ![]()
(4) Br2 + NaI (dư) →
Trong các phản ứng trên, những phản ứng có tạo ra đơn chất là
(1) SiO2 + HF → SiF4 + 2H2O
(2) F2 + H2O 4HF + O2↑
(3) AgBr 2Ag + Br2
(4) Br2 + NaI (dư) → NaBr + I2
Các phản ứng tạo ra đơn chất là: (1); (2); (4).
Cho phản ứng sau:
SO2(g) +
O2(g) → SO3(l) (1)
= −144,2 kJ
Biết nhiệt tạo thành chuẩn của SO2 là −296,8 kJ/mol. Nhiệt tạo thành chuẩn của SO3 là
SO2(g) + O2(g) → SO3
= −144,2 kJ
=
(SO3(l)) –
(SO2(g)) –
(O2(g))
⇒ (SO3(l)) = –144,2 − 296,8 = −441 kJ.
Cho 0,04 mol NO2 vào một bình kín dung tích 100 ml (ở toC), sau 20 giây thấy tổng nồng độ mol khí trong bình là 0,30 mol/l. Tốc độ trung bình của phản ứng (tính theo NO2, ở toC) trong 20 giây là
2NO2 N2O4.
x 0,5x
0,04 – x + 0,5x = 0,03
x = 0,02
v = 0,02/(0,1. 20) = 0,01 mol/(l.s).
Nhận định sai khi nói về tính acid của các dung dịch HCl, HBr, HI là
Các dung dịch HCl, HBr, HI có tính acid nên làm quỳ tím chuyển màu đỏ.
Tương tác van der Waals là một loại liên kết rất yếu, hình thành
Tương tác van der Waals là một loại liên kết rất yếu, hình thành do do tương tác hút tĩnh điện giữa các cực trái dấu của phân tử.
Cho các chất: CaCO3; KOH; KI; KMnO4; Si; Na; FeSO4; MnO2; Mg; Cl2. Trong các chất trên có bao nhiêu chất có khả năng phản ứng được với dung dịch HBr mà trong đó HBr đóng vai trò là chất khử?
- Các phản ứng trao đổi:
CaCO3 + 2HBr → CaBr2 + CO2↑ + H2O
KOH + HBr → KBr + H2O
- Các phản ứng HBr đóng vai trò là chất oxi hóa:
2Na + 2HBr → 2NaBr + H2↑
- Các phản ứng HBr đóng vai trò là chất khử:
Điều kiện chuẩn của biến thiên enthalpy là
Điều kiện chuẩn của biến thiên enthalpy: áp suất 1 bar (đối với chất khí), nồng độ 1 mol/L (đối với chất tan trong dung dịch) và nhiệt độ thường được chọn là 25oC (298K).
Cho giá trị trung bình của các năng lượng liên kết ở điều kiện chuẩn:
|
Liên kết |
C–H |
C–C |
C=C |
|
E b (kJ/mol) |
418 |
346 |
612 |
Biến thiên enthalpy của phản ứng: C3H8 (g) → CH4 (g) + C2H4 (g) có giá trị là
Phản ứng:

∑Eb(cđ)=2.Eb(C – C) + 8.Eb(C – H) = 2.346 + 8.418 = 4036 kJ
∑Eb(sp)=1.Eb(C = C) + 8.Eb(C – H) = 1.612 + 8.418 = 3956 kJ
⇒ ∑Eb(cd)−∑Eb(sp) = 4036 – 3956 = 80 kJ
Hoàn thành phương trình phản ứng (nêu điều kiện phản ứng nếu có). Từ đó nhận xét vai trò của đơn chất halogen trong các phản ứng trên.
| a) Br2 + K → | b) F2 + H2O → |
| c) Cl2 + Fe → | d) Cl2 + NaI → |
| e) H2 + I2 → |
Hoàn thành phương trình phản ứng (nêu điều kiện phản ứng nếu có). Từ đó nhận xét vai trò của đơn chất halogen trong các phản ứng trên.
| a) Br2 + K → | b) F2 + H2O → |
| c) Cl2 + Fe → | d) Cl2 + NaI → |
| e) H2 + I2 → |
a) Br2 + 2K → 2KBr
b) 2F2 + 2H2O → 4HF + O2
c) 3Cl2 + 2Fe 2FeCl3
d) Cl2 + 2NaI → 2NaCl + I2
e) H2 + I2 2HI
Sodium iodide khử được sulfuric acid đặc thành
Cho một mẩu giấy quỳ tím vào dung dịch NaOH loãng, sau đó sục khí Cl2 vào dung dịch đó, hiện tượng là:
Thả giấy quỳ vào dung dịch NaOH, quỳ chuyển xanh. Khi sục chlorine vào dung dịch, màu của quỳ bắt đầu mất màu dần đến khi mất hẳn. Do Cl2 tác dụng với NaOH tạo ra NaClO có tính oxi hoá mạnh, có thể phá hủy các hợp chất màu.
Cl2 + 2NaOH → NaCl + NaClO + H2O
Trong phòng thí nghiệm, khí chlorine có thể được điều chế bằng cách cho MnO2 tác dụng với HCl đặc, đun nóng. Phản ứng hoá học xảy ra theo sơ đồ sau:
MnO2 + HCl
MnCl2 + Cl2 + H2O
Giả sử hiệu suất phản ứng đạt 100%. Tính khối lượng MnO2 cần dùng để thu được 2,479 lít khí Cl2 ở điều kiện chuẩn.
- Lập phương trình hóa học:
Chất khử: HCl; chất oxi hoá: MnO2.
Ta có các quá trình:

⇒ Phương trình hoá học: MnO2 + 4HCl MnCl2 + Cl2 + 2H2O
- Tính toán:
nCl2 = 0,1 mol
MnO2 + 4HCl MnCl2 + Cl2 + 2H2O
mol: 0,1 ← 0,1
mMnO2 = 0,1.87 = 8,7 (g)
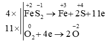
Cho sơ đồ phản ứng hóa học sau: FeS2 + O2 → Fe2O3 + SO2
Khi cân bằng phương trình phản ứng với hệ số các chất là các số nguyên tối giản, hệ số của O2 là
Sự thay đổi số oxi hóa trước và sau phản ứng:
Thăng bằng electron:

Cân bằng phương trình phản ứng:
4FeS2 + 11O2 → 2Fe2O3 + 8SO2
R là nguyên tố nhóm A có công thức oxide cao nhất là R2O5. Y thuộc nhóm
Công thức oxide cao nhất của Y là Y2O5
⇒ Hóa trị cao nhất của Y là V
Y là nguyên tố nhóm A nên số thứ tự nhóm = hóa trị cao nhất = V
Vậy Y thuộc nhóm VA.
Biến thiên enthalpy chuẩn của một phản ứng hoá học (ở điều kiện chuẩn) là
Biến thiên enthalpy chuẩn của một phản ứng hoá học (ở điều kiện chuẩn) là lượng nhiệt kèm theo phản ứng đó.
Dãy các đơn chất halogen nào sau đây được xếp theo thứ tự tính oxi hóa tăng dần?
Đơn chất halogen đều có tính oxi hóa mạnh và tính oxi hóa giảm dần từ fluorine đến iodine.
Nguyên tử O có 8 electron. Theo mô hình Rutherford – Bohr, nguyên tử O có số electron có cùng năng lượng ở lớp thứ nhất là
O có số electron tối đa ở lớp thứ nhất là: 2.
Hợp chất nào sau đây lưu huỳnh có số oxi hóa +6?
Gọi số oxi hóa của S trong mỗi hợp chất là x. Áp dụng quy tắc xác định số oxi hóa của nguyên tử các nguyên tố ta có:
- H2S: x + (+1).2 = 0 ⇒ x = –2
- Na2SO4: 2.(+1) + x + (–2).4 = 0 ⇒ x = +6
- SO2: x + (–2).2 = 0 ⇒ x = +4
- Na2SO3: (+1).2 + x + (–2).3 = 0 ⇒ x = +4
Vậy S có số oxi hóa +6 trong hợp chất Na2SO4.
Cho phản ứng hóa học: Fe + CuSO4 → FeSO4 + Cu.
Trong phản ứng trên xảy ra
Các quá trình xảy ra:
Trong phản ứng xảy ra sự oxi hóa Fe và sự khử Cu2+.
Tại thời điểm t1 nồng độc của chất X bằng C1, tại thời điểm t2 (với t2 > t1) nồng độ của chất X bằng C2. Tốc độ trung bình của phản ứng trong khoảng thời gian trên được tính theo biểu thức sau đây?
Tốc độ trung bình của phản ứng được tính như sau:
Cho các dữ kiện sau:
(1) 2Fe (S) + O2 (g) → 2FeO (s) có
= – 544 kJ.
(2) 4Fe (s) + 3O2 (g) → 2Fe2O3 (s) có
= – 1648,4 kJ.
(3) Fe3O4 (s) → 3Fe (s) + 2O2 (s)
= 1118,4 kJ.
Tính
của phản ứng: (4) FeO (s) + Fe2O3 (s) → Fe3O4 (s).
Áp dụng hệ quả định luật Hess và cộng 2 vế 3 phương trình
| (1) FeO (s) → Fe (S) + |
có |
| (2) Fe2O3 (s) → 2Fe (s) + |
có |
| (3) 3Fe (s) + 2O2 (g) → Fe3O4 (s) | có |
| (4) FeO (s) + Fe2O3 (s) → Fe3O4 (s) |
Ta có:
Biến thiên enthalpy của phản ứng nào sau đây có giá trị âm?
Phản ứng tỏa nhiệt biến thiên enthalpy có giá trị âm.
Phản ứng thu nhiệt biến thiên enthalpy có giá trị dương.
Giá trị tuyệt đối của biến thiên enthalpy càng lớn thì
Giá trị tuyệt đối của biến thiên enthalpy càng lớn thì nhiệt lượng tỏa ra hay thu vào của phản ứng càng nhiều
Sắp xếp theo chiều tăng dần xu hướng biến đổi độ dài liên kết trong dãy HX (X là halogen)?
Độ dài liên kết: Là khoảng cách giữa hai hạt nhân của các nguyên tử tương tác với nhau.
Nguyên tử có bán kính càng nhỏ
độ dài liên kết càng nhỏ
Độ dài liên kết: HF < HCl < HBr < HI.
Số oxi hoá của chromium (Cr) trong Na2CrO4 là
Trong Na2CrO4, số oxi hóa của O là -2; số oxi hóa của Na là +1.
Gọi số oxi hoá của chromium là x. Ta có:
2 × (+1) + x + 4 × (-2) = 0 ⇒ x = +6.