Các bước thực hiện:
Bước 1: Thu gọn biểu thức.
Bước 2: Thay giá trị x vừa tìm được vào biểu thức.
Bước 3: Kết luận.
Ví dụ: Cho biểu thức: ![]()
a) Rút gọn biểu thức.
b) Tính giá trị của biểu thức khi
.
Hướng dẫn giải
a) Điều kiện xác định ![]()
![]()
![]()
![]()
![]()
![]()
.
b) Ta có:
thỏa mãn điều kiện xác định nên thay
vào biểu thức A thu gọn ta được:

Vậy khi
thì
.
Ví dụ: Cho biểu thức ![]()
a) Thu gọn biểu thức B.
b) Tính giá trị của B tại
.
Hướng dẫn giải
Điều kiện xác định ![]()
a) ![]()
![]()
![]()
![]()
![]()
.
b) Ta có:
thỏa mãn điều kiện xác định nên thay
vào biểu thức B thu gọn ta được:
![]()
Vậy
khi
.
Ví dụ: Cho biểu thức: ![]()
a) Rút gọn biểu thức C với
.
b) Khi
thì giá trị biểu thức C bằng bao nhiêu?
Hướng dẫn giải
a) ![]()
![]()
![]()
![]()
.
b) Ta có: ![]()
![]()
Vì
thỏa mãn điều kiện xác định nên thay vào biểu thức C ta được:
![]()
Vậy
thì
.
Các bước thực hiện bài toán:
Ví dụ: Cho biểu thức ![]()
a) Thu gọn biểu thức D.
b) Tìm x để
.
Hướng dẫn giải
Điều kiện xác định ![]()
a) ![]()
![]()
![]()
![]()
![]()
![]()
b) Ta có:
![]()
![]()
Vậy
khi
.
Ví dụ: Cho biểu thức ![]()
a) Rút gọn biểu thức E.
b) Tìm x để
.
Hướng dẫn giải
Điều kiện xác định ![]()
a) ![]()
![]()
![]()
![]()
b) Ta có:
![]()
Vậy để
thì
.
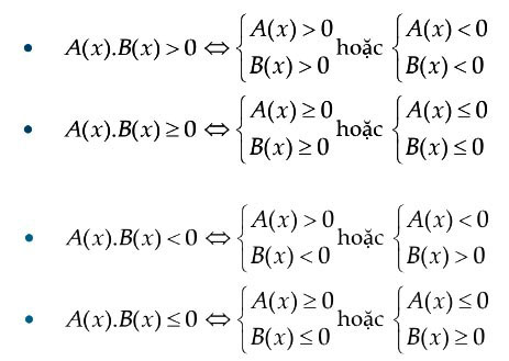
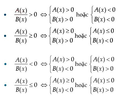
Cách giải bất phương trình tích, bất phương trình thương


Ví dụ: Cho biểu thức
. Tìm x để
.
Hướng dẫn giải
Ta có:
![]()
![]()
![]()
![]()
Vì ![]()
Để
suy ra ![]()
Kết hợp với điều kiện x > 0
Vậy để
thì
.
Ví dụ: Cho hai biểu thức
và
với ![]()
a) Tính giá trị của biểu thức N khi
.
b) Tìm các giá trị thực của x để
.
Hướng dẫn giải
a) Khi
ta có: ![]()
b) Điều kiện ![]()
Ta có:
![]()
![]()
![]()
![]()
![]()
b) Với
thì
![]()
![]()
Kết hợp với điều kiện đề bài
Vậy
thì
.
Ví dụ: Cho hai biểu thức
và
với
.
a) Tính giá trị của biểu thức P khi
.
b) Tìm x để
.
Hướng dẫn giải
a) Thay
vào P ta được:
.
b) Rút gọn biểu thức Q:
![]()
![]()
![]()
![]()
![]()
Khi đó ![]()
![]()
![]()
Theo bài ra ta có:
![]()
![]()
Mà ![]()
Từ đó suy ra ![]()
Kết hợp với điều kiện xác định ![]()
Vậy
thì
.
Bài 1: Cho biểu thức
với ![]()
a) Thu gọn biểu thức H.
b) Tính giá trị của H tại
.
c) Tìm x để
.
Bài 2: Cho biểu thức ![]()
a) Rút gọn biểu thức K.
b) Tính giá trị của K khi
.
c) Tìm x để
.
Bài 3: Cho biểu thức
và
với ![]()
a) Tính giá trị của M khi
.
b) Tìm x để
.
Bài 4: Cho biểu thức
và
với ![]()
a) Tính giá trị của Z khi
.
b) Chứng minh
.