Các phân tử sinh học CD

Bài học: Các phân tử sinh học được Khoahoc sưu tầm và tổng hợp các câu hỏi lí thuyết và trắc nghiệm có đáp án đi kèm nằm trong chương trình giảng dạy môn Sinh học lớp 10 sách Cánh diều.

I. Khái quát về phân tử sinh học

- Phân tử sinh học là những phân tử hữu cơ được tạo ra từ tế bào và cơ thể sinh vật.

- Các phân tử sinh học gồm: những phân tử lớn tham gia cấu tạo tế bào (carbohydrate, protein, nucleic acid, lipid); những phân tử nhỏ là các sản phẩm trao đổi chất (aldehyde, alcohol, acid hữu cơ); các chất tham gia xúc tác, điều hòa (vitamin, hormone).

Các nhóm phân tử sinh học chính cấu tạo nên tế bào

II. Carbohydrate

- Carbohydrate là tập hợp chất hữu cơ chứa C, H và O, trong đó tỉ lệ H : O là 2 : 1 giống như trong phân tử nước.

- Phân loại: Dựa vào số lượng đơn phân, carbohydrate được chia thành 3 loại monosaccharide, disaccharide, polysaccharide.

Một số loại carbohydrate

- Vai trò: Carbohydrate là nguồn cung cấp năng lượng, tham gia cấu tạo nhiều hợp chất trong tế bào.

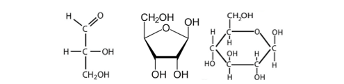
1. Monosaccharide

- Là loại carbohydrate đơn giản nhất có công thức phân tử là CnH2nOn (thường có 3 đến 7 nguyên tử carbon), còn gọi là đường đơn. Các monosaccharide đều là chất khử nên còn gọi là đường khử hay đường khử.

Một số triose (3C), pentose (5C) và hexose (6C) phổ biến

- Vai trò: Các monosaccharide, đặc biệt là glucose, đóng vai trò cung cấp năng lượng cho hoạt động sống của tế bào. Các monosaccharide còn là thành phần cấu tạo của disaccharide và nhiều hợp chất khác.

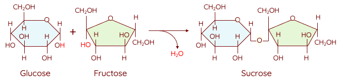
2. Disaccharide

- Đặc điểm cấu tạo: Disaccharide (đường đôi) do hai phân tử đường đơn liên kết với nhau bằng một liên kết cộng hóa trị (liên kết glycosidic).

Sự hình thành disaccharide qua phản ứng ngưng tụ (phản ứng loại nước)

- Một số loại đường đôi: Một số disaccharide phổ biến là sucrose (có nhiều trong quả, mía, củ cải đường) và lactose (có trong sữa).

Một số thực vật có nhiều sucrose

- Vai trò: Đường đôi được coi là đường vận chuyển vì các sinh vật vận chuyển nguồn năng lượng glucose đến các bộ phận khác nhau của cơ thể hoặc nuôi dưỡng con non.

3. Polysaccharide

- Polysaccharide là polymer (hợp chất có cấu trúc đa nhân) của các monosaccharide kết hợp với nhau bằng liên kết glycoside, được hình thành qua nhiều phản ứng ngưng tụ.

- Polysaccharide có thể gồm một hoặc một số loại monosaccharide.

a) Tinh bột
b) Glycogen c) Cellulose
Tinh bột, glycogen và cellulose được cấu tạo từ đơn phân glucose

III. Protein

1. Amino acid

- Có khoảng 20 loại amino acid chính tham gia cấu tạo nên protein với trật tự khác nhau. 

- Mỗi amino acid được cấu tạo gồm 3 thành phần là: 1 nhóm carboxyl, 1 nhóm amino và mạch bên (gốc R). Các amino acid khác nhau về mạch bên (gốc R).

Các amino acid và liên kết peptide

- Trong 20 loại amino acid, có 9 loại amino acid không thay thế. Amino acid không thay thế là những amino acid mà con người và động vật không tự tổng hợp được nhưng cần thiết cho hoạt động sống nên phải thu nhận từ nguồn thức ăn.

2. Protein

a) Cấu trúc hóa học của protein

- Protein là polymer sinh học được cấu tạo từ hàng chục đến hàng trăm nghìn gốc amino acid kết hợp với nhau bằng liên kết peptide tạo thành chuỗi polypeptide thẳng.

- Protein gồm các nguyên tố C, H, O, N, S. Ngoài ra, protein có thể chứa P, Zn, Fe, Cu, Mg,…

Sơ đồ cấu tạo chuỗi polypeptide

- Protein thường có dạng cầu như các enzyme; dạng sợi như collagen, actin, keratin và một số hình dạng khác.

b) Các bậc cấu trúc của phân tử protein

Để thực hiện các hoạt động sống, protein phải có cấu trúc không gian ba chiều đặc trưng được hình thành từ các bậc cấu trúc khác nhau:

Các bậc cấu trúc của protein

- Cấu trúc bậc 1: là trình tự sắp xếp các amino acid trong chuỗi polypeptide và được ổn định bằng liên kết peptide. Cấu trúc bậc 1 đặc trưng cho từng loại protein và là một cơ sở để xác định quan hệ họ hàng của các sinh vật.

- Cấu trúc bậc 2: là dạng xoắn hoặc gấp nếp cục bộ trong không gian của chuỗi polypeptide nhờ các liên kết hydrogen giữa các nguyên tử H và O của các liên kết peptide.

- Cấu trúc bậc 3: là dạng cuộn lại trong không gian của toàn chuỗi polypeptide nhờ liên kết disulfide (S – S) giữa hai cốc cysteine ở xa nhau trong chuỗi và các liên kết yếu như tương tác kị nước, liên kết hydrogen, liên kết ion giữa các gốc R.

- Cấu trúc bậc 4: là dạng gồm hai hay nhiều chuỗi polypeptide có cấu trúc không gian ba chiều đặc trưng tương tác với nhau.

3. Chức năng của protein

Protein tham gia hầu hết các hoạt động sống của tế bào:

- Là chất xúc tác sinh học cho hầu hết các phản ứng (enzyme).

- Là thành phần cấu trúc nên tế bào, cơ thể.

- Tham gia vận chuyển các chất qua màng, trong tế bào và trong cơ thể.

- Điều hòa các quá trình trao đổi chất, truyền thông tin di truyền, sinh trưởng, phát triển, sinh sản (hormone).

- Vận động tế bào và cơ thể.

- Bảo vệ cơ thể chống lại sự nhiễm virus, vi khuẩn và các bệnh tật (kháng thể).

- Là chất dự trữ.

IV. Nucleic acid

1. Nucleotide

- Nucleotide có cấu tạo gồm 3 phần:

+ Gốc phosphate.

+ Đường pentose: gồm hai loại là deoxyribose và ribose.

+ Nitrogenous base: gồm hai nhóm purine (adenine – A, guanine – G) và pyrimidine (cytosine – C, thymine – T, uracil – U).

Cấu tạo nucleotide

- Vai trò của nucleotide:

+ Là đơn phân cấu tạo nên nucleic acid.

+ Một số nucleotide là thành phần cấu tạo của nhiều hợp chất giàu năng lượng, cung cấp năng lượng cho nhiều hoạt động sống của tế bào (ATP, GTP).

+ Một số nucleotide tham gia quá trình truyền tin nội bào (cAMP).

2. DNA và RNA

- Các nucleotide kết hợp với nhau qua liên kết phosphodiester được hình thành giữa đường pentose của nucleotide này với gốc phosphate của nucleotide kế tiếp tạo nên chuỗi polynucleotide.

Mô hình phân tử DNA và RNA

- Cấu tạo không gian của DNA:

+ Phân tử DNA ở tế bào nhân thực có cấu trúc xoắn kép gồm hai chuỗi polynucleotide dài có chiều ngược nhau (5’ – 3’ và 3’ – 5’).

+ Các gốc phosphate – đường quay ra ngoài tạo thành bộ khung còn các gốc base quay vào phía trong liên kết với nhau bằng liên kết hydrogen theo nguyên tắc bổ sung.

- Cấu tạo không gian của RNA:

+ Các loại RNA thường được cấu tạo từ một chuỗi polynucleotide.

+ Bao gồm một số loại như: mRNA, rRNA, tRNA (mRNA là dạng mạch thẳng, không có liên kết hydrogen theo nguyên tắc bổ sung; rRNA, tRNA có các đoạn liên kết hydrogen theo nguyên tắc bổ sung cục bộ giữa A – U, G – C).

3. Chức năng của nucleic acid

Nucleic acid có vai trò quy định, lưu giữ và truyền đạt thông tin di truyền.

V. Lipid

- Lipid là nhóm các phân tử sinh học có cấu tạo hóa học đa dạng, thường không tan trong nước nhưng tan trong các dung môi hữu cơ như ether, acetone.

- Không có cấu trúc đa phân.

Ví dụ về ba loại lipid phổ biến

1. Triglyceride

- Triglyceride (dầu, mỡ) đóng vai trò dự trữ năng lượng trong tế bào và cơ thể. Một gram triglyceride sản sinh ra năng lượng gấp khoảng 2 lần so với một gram carbohydrate.

- Ở động vật, lượng triglyceride hấp thu dư thừa so với nhu cầu hằng ngày có thể được biến đổi thành mỡ dự trữ vừa có vai trò dự trữ năng lượng vừa có vai trò làm lớp đệm cách nhiệt và bảo vệ các cơ quan tránh được các tổn thương do tác động cơ học.

- Triglyceride là dung môi hòa tan nhiều vitamin như A, D, E, K nên cần thiết cho sự hấp thu các vitamin này.

2. Phospholipid

- Phospholipid là thành phần chính của màng sinh chất.

- Phân tử phospholipid gồm một đầu ưa nước (chưa gốc phosphate liên kết với một gốc ưa nước) và hai đuôi kị nước.

Phospholipid cấu tạo nên màng sinh chất

3. Steroid

Trong các steroid, cholesterol tham gia cấu tạo màng sinh chất và điều hòa tính lỏng của màng ở tế bào động vật; là tiền chất của các hormone steroid như cortisol, estrogen, testosterone tham gia điều hòa sự trao đổi chất, sinh trưởng và sinh sản của cơ thể.

Câu trắc nghiệm mã số: 63342,63341,63340,63339,63338
  • 181 lượt xem
Sắp xếp theo