Phản ứng oxi hóa - khử đã giới thiệu đến các em lý thuyết về số oxi hóa và phản ứng oxi hóa - khử. Bên cạnh là các ví dụ và bài tập có lời giải chi tiết, xây dựng dựa trên kiến thức trọng tâm chương trình hóa 10 Cánh diều.
Ví dụ 1: Trong hợp chất ion NaCl, điện tích của Na là 1+ còn của Cl là 1-.
Ví dụ 2: Trong phân tử HCl, điện tích thực của H là δ+ còn Cl là δ-, trong đó 0 < δ < 1 và điện tích này không dễ xác định được.
Số oxi hóa của một nguyên tử một nguyên tố trong hợp chất là điện tích của nguyên tử nguyên tố đó với giả định đây là hợp chất ion.
Ví dụ:
K+Cl-: số oxi hóa của K là +1, của Cl là -1.
Ba2+O2-: số oxi hóa của Ba là +2, của O là -2.
H – O – H: với giả định là hợp chất ion, hai cặp electron dùng chung sẽ lệch hoàn toàn về phía nguyên tử O (có độ âm điện lớn hơn), mỗi liên kết đơn có một electron của H bị chuyển sang O nên hợp chất ion giả định là H+O2-H+. Vậy số oxi hóa của H là +1, của O là -2.
Có hai cách để xác định số oxi hóa của các nguyên tử nguyên tố hóa học trong hợp chất.
Cách 1: Dựa theo số oxi hóa của một nguyên tử đã biết và điện tích của phân tử hoặc ion. Theo cách này có hai quy tắc:
Quy tắc 1:
Quy tắc 2:
Tổng số oxi hóa của các nguyên tử trong phân tử bằng 0, trong một ion đa nguyên tử bằng chính điện tích của ion đó.
Ví dụ 1: Số oxi hóa của các nguyên tố S, Zn, O, Cl trong đơn chất S, Zn, O2, Cl2 đều bằng 0.
Ví dụ 2: Xác định số oxi hóa của N trong NaNO3.
Gọi x là số oxi hóa của N, theo quy tắc 1 và 2 có:
1.(+1) + 1.x + 3.(-2) = 0 ⇒ x = +5
Vậy N có số oxi hóa + 5 trong NaNO3.
Ví dụ 3: Xác định số oxi hóa của C trong CO32-.
Gọi x là số oxi hóa của C, theo quy tắc 1 và 2 có:
1.x + 3.(-2) = -2 ⇒ x = +4
Vậy C có số oxi hóa +4 trong CO32-
Cách 2: Dựa theo công thức cấu tạo
Đây là cách tính điện tích các nguyên tử trong hợp chất với giả định đó là hợp chất ion dựa vào công thức cấu tạo.
Ví dụ 4: Xác định số oxi hóa của Si và O trong SiO2.
Silicon dioxide (SiO2) có công thức cấu tạo như sau O = Si = O. Trong mỗi liên kết đôi Si = O, một nguyên tử Si góp 2 electron, khi giả định SiO2 là hợp chất ion thì 2 electron này chuyển sang O. Vì có 2 liên kết Si = O nên SiO2 có công thức ion giả định là O2-Si4+O2-. Từ đó xác định được số oxi hóa của O là – 2, của Si là +4.
Phản ứng oxi hóa – khử là phản ứng hóa học trong đó có sự thay đổi số oxi hóa của ít nhất một nguyên tố hóa học.
Ví dụ:
(1) ![]()
(2) ![]()
(3) ![]()
Phản ứng (1) là phản ứng oxi hóa – khử vì có sự thay đổi số oxi hóa của Al và H.
Phản ứng (2) là phản ứng oxi hóa – khử vì có sự thay đổi số oxi hóa của Fe và O.
Phản ứng (3) không phải là phản ứng oxi hóa – khử vì không có sự thay đổi số oxi hóa của các nguyên tố trước và sau phản ứng.
Một số khái niệm thường sử dụng đối với phản ứng oxi hóa – khử:
Ví dụ: Fe trong phản ứng (2).
Ví dụ: O2 trong phản ứng (2).
Ví dụ: quá trình Al nhường electron trong phản ứng (2).
Ví dụ: quá trình O2 nhận electron trong phản ứng (2).
Cân bằng các phản ứng oxi hóa - khử theo nguyên tắc: Trong một phản ứng, tổng số electron nhường bằng tổng số electron nhận.
Ví dụ 1: Cân bằng phản ứng:
Cu + AgNO3
Cu(NO3)2 + Ag
Bước 1: Xác định sự thay đổi số oxi hóa trước và sau phản ứng của các nguyên tử:
![]()
![]()
Bước 2: Viết các quá trình oxi hóa và quá trình khử
(1)
(2)
Bước 3: Thăng bằng electron bằng cách nhân thêm hệ số vào các quá trình nhường và nhận electron sao cho tổng số electron nhường bằng tổng số electron nhận. Cộng các quá trình (đã nhân hệ số) với nhau sẽ thu được sơ đồ (3).
![]()
Bước 4: Dựa vào sơ đồ trên để hoàn thành phương trình dạng phân tử.
Cu + 2AgNO3
Cu(NO3)2 + 2Ag
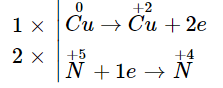
Ví dụ 2: Cân bằng phản ứng:
Cu + HNO3
Cu(NO3)2 + NO2 + H2O
Bước 1:
![]()
![]()
Bước 2:
(1)
(2)
Bước 3:

![]()
Quá trình oxi hóa các phân tử thường giải phóng một lượng lớn năng lượng.

C + O2
CO2
⇒ Phản ứng toả năng lượng.
C6H12O6 + O2 → 6CO2 + 6H2O

6CO2 + 6H2O
C6H12O6 + 6O2
Ví dụ: Phản ứng ăn mòn kim loại như tạo gỉ sắt, phản ứng oxi hóa trong thức ăn làm thức ăn bị ôi thiu, cháy rừng, …