Phenol là những hợp chất hữu cơ trong phân tử có một hay nhiều nhóm hydroxy liên kết trực tiếp với nguyên tử carbon của vòng benzene.
Phenol đơn giản nhất có công thức cấu tạo thu gọn là C6H5OH có tên là phenol.
| Công thức cấu tạo của phenol |
Mô hình phân tử phenol |
![]() |
![]() |
Ví dụ: phenol, o-cresol, m-cresol, p-cresol

Ví dụ:

Chú ý: Trong những trường hợp sau này, nếu không nói gì thêm, thì coi “phenol” là chất cụ thể C6H5OH.
Phenol tinh khiết

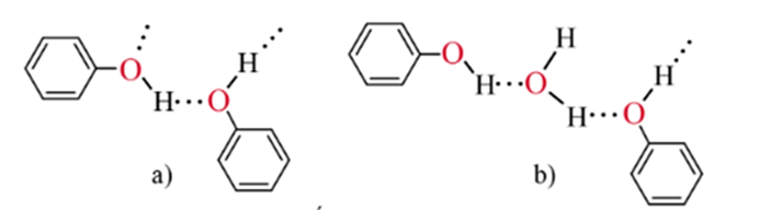
Liên kết hydrogen giữa các phân tử phenol (a)
và giữa phân tử phenol với nước (b)

Bàn tay bị bỏng do tiếp xúc với phenol
Trong phân tử phenol, nhóm –OH liên kết trực tiếp với vòng benzene. Nhờ đó, vòng benzene trở thành nhóm hút electron, làm giảm mật độ electron ở nguyên tử oxygen và tăng sự phân cực của liên kết O–H, đồng thời tăng mật độ electron trong vòng benzene.

Ảnh hưởng qua lại giữa nhóm -OH và vòng benzene
Phenol thể hiện tính acid yếu. Dung dịch phenol không làm đổi màu quỳ tím

a) Phản ứng với dung dịch NaOH
C6H5OH + NaOH → C6H5ONa + H2O.
b) Phản ứng với dung dịch sodium carbonate
C6H5OH + Na2CO3 ⇌ C6H5ONa + NaHCO3
Kết luận: Tính acid của phenol mạnh hơn tính acid của alcohol.
a) Phản ứng với nước bromine
Nhỏ nước bromine vào dung dịch phenol, thấy xuất hiện kết tủa trắng (2,4,6-tribromophenol).
b) Phản ứng với dung dịch HNO3 đặc

Kết luận: Phản ứng thế nguyên tử H của vòng benzene trong phân tử phenol xảy ra dễ hơn so với benzene.
![]() |
![]() |
![]() |
![]() |
| Một số sản phẩm có phenol trong thành phần | |
![]()
cumene phenol acetone





