Bài học: Phản ứng oxi hóa - khử đã giới thiệu cho các em lí thuyết về số oxi hóa, chất oxi hóa, chất khử, phản ứng oxi hóa - khử. Bên cạnh là các ví dụ và bài tập có lời giải chi tiết, xây dựng dựa trên kiến thức trọng tâm chương trình hóa 10 Kết nối tri thức.
Ví dụ 1: Xét phân tử NaCl.

Nguyên tử Na nhường 1 electron cho nguyên tử Cl, khi đó nguyên tử Na trở thành ion dương mang điện tích 1+ (số oxi hóa của Na là +1) và nguyên tử Cl nhận 1 electron của nguyên tử Na trở thành ion âm mang điện tích 1– (số oxi hóa của Cl là –1):
![]()
Ví dụ 2: Xét phân tử H2O.
Độ âm điện của nguyên tử O lớn hơn độ âm điện của nguyên tử H, nếu các cặp electron liên kết chuyển hoàn toàn về nguyên tử O thì nguyên tử O có thêm 2 electron và trở thành ion âm có điện tích 2– (số oxi hóa của O là –2); mỗi nguyên tử H mất đi 1 electron và trở thành ion dương có điện tích 1+ (số oxi hóa của H là +1):
![]()
Ví dụ 3: Xét phân tử H2.
Hai nguyên tử H giống nhau nên cặp electron liên kết không lệch về nguyên tử nào. Do vậy, mỗi nguyên tử H đều trung hòa điện, có điện tích bằng 0 và số oxi hóa là 0:
![]()
Số oxi hóa thường được dùng để lập phương trình hóa học của phản ứng oxi hóa - khử.
Thông thường, số oxi hóa của nguyên tử được xác định trực tiếp từ công thức phân tử theo các quy tắc sau:
Quy tắc 1: Trong đơn chất, số oxi hóa của nguyên tử bằng 0.
Ví dụ:
![]()
Quy tắc 2: Trong phân tử các hợp chất, thông thường số oxi hóa của hydrogen là +1, của oxygen là –2, các kim loại điển hình có số oxi hóa dương và có giá trị bằng số electron hóa trị.

Quy tắc 3: Trong hợp chất, tổng số oxi hóa của các nguyên tử trong phân tử bằng 0.
Ví dụ: Na2O
Tổng số oxi hóa = (+1).2 + (-2) = 0
Quy tắc 4: Trong ion đơn nguyên tử, số oxi hóa của nguyên tử bằng điện tích ion; trong ion đa nguyên tử, tổng số oxi hóa của các nguyên tử bằng điện tích ion.
Ví dụ: [SO4]2-
Tổng số oxi hóa = (+6) + (-2).4 = -2
Áp dụng:
Xác định số oxi hóa của N trong phân tử HNO3:
Hướng dẫn giải:
Ví dụ 1: Đưa mẩu than gỗ nóng đỏ vào bình đựng khí O2, mẩu than cháy sáng.
![]()
Trong phản ứng trên nguyên tử C nhường 4 electron, là chất khử; phân tử O2 nhận 4 electron, số oxi hoá giảm từ 0 về -2, là chất oxi hoá.
(quá trình oxi hóa)
(quá trình khử)
Ví dụ 2: Phản ứng khử Fe2O3 bằng CO để sản xuất gang, thép.
![]()
Chất oxi hoá iron (III) oxide, chất khử là carbon monoxide.
Áp dụng:
Phản ứng nào sau đây là phản ứng oxi hóa - khử?
a) CaCO3
CaO + CO2
b) ZnO + C
Zn + CO
Hướng dẫn giải:
a)
Không phải là phản ứng oxi hóa – khử vì không có sự thay đổi số oxi hóa của các nguyên tố.
b) ![]()
Có sự thay đổi số oxi hóa của nguyên tố Zn, C
Đây là phản ứng oxi hóa – khử.
Phương pháp thăng bằng electron đường dùng để lập phương trình hóa học của phản ứng oxi hóa – khử theo nguyên tắc:
Tổng số electron chất khử nhường bằng tổng số electron chất oxi hóa nhận.
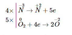
Ví dụ: Cân bằng phương trình hóa học của phản ứng: ![]()
Theo phương pháp thăng bằng electron, phương trình hóa học của phản ứng trên được lập theo các bước như sau:
Bước 1: Xác định các nguyên tử có sự thay đổi số oxi hóa, từ đó xác định chất oxi hóa, chất khử:
![]()
Chất khử Chất oxi hóa
Bước 2: Biểu diễn quá trình oxi hóa, quá trình khử:
![]()
![]()
Bước 3: Tìm hệ số thích hợp cho chất khử và chất oxi hóa dựa trên nguyên tắc: Tổng số electron chất khử nhường bằng tổng số electron chất oxi hóa nhận.

Bước 4: Đặt hệ số của chất oxi hóa và chất khử vào sơ đồ phản ứng, từ đó tính ra hệ số của các chất khác có mặt trong phương trình hóa học. Kiểm tra sự cân bằng số nguyên tử của các nguyên tố ở hai vế.
4NH3 + 5O2 → 4NO + 6H2O
Phản ứng cháy là phản ứng oxi hóa – khử xảy ra ở nhiệt độ cao giữa chất cháy và chất oxi hóa.
Trong phản ứng cháy, chất cháy thường là nhiên liệu (than đá, khí thiên nhiên, xăng dầu, …), còn chất oxi hóa thường là oxygen. Sự cháy kèm theo sự toả nhiệt và phát sáng, tạo ra nhiệt lượng đủ để duy trì sự cháy.
Ví dụ: Phản ứng oxi hoá – khử xảy ra khi đốt cháy carbon trong than đá và butane trong khí gas:

Đốt than đá: C + O2
CO2

2C4H10 + 13O2
8CO2 + 10H2O
Ví dụ: Trong không khí ẩm, các vật dụng bằng thép bị oxi hoá tạo gỉ sắt.

4Fe + 3O2 + xH2O
2Fe2O3.xH2O
Trong công nghiệp, phần lớn các phản ứng hóa học xảy ra trong các quy trình sản xuất là phản ứng oxi hóa – khử.
Ví dụ: Sulfuric acid là hóa chất quan trọng trong công nghiệp, được sản xuất chủ yếu từ sulfur hoặc quặng pyrite.

Trong tự nhiên cũng xảy ra rất nhiều quá trình kèm theo phản ứng oxi hoá – khử:
Ví dụ:
Lúa chiêm lấp ló đầu bờ
Hễ nghe tiếng sấm phất cờ mà lên
(Ca dao Việt Nam)
![]()
2NO + O2
2NO2
4NO2 + O2 + 2H2O
HNO3
Nitric acid tan vào nước mưa và chuyển hóa thành gốc nitrate (NO3-), cung cấp chất đạm cho cấy lúa. Nhờ quá trình trên, hàng năm một lượng lớn phân đạm tự nhiên được bổ sung cho đất.
Trong thực tế, dung dịch thuốc tím (KMnO4) được sử dụng phổ biến như một tác nhân oxi hóa mạnh để xác định hàm lượng các chất khử như iron(II); hydrogen peroxide, oxalic acid, …
Ví dụ: Trong quá trình bảo quản, một mẫu iron (II) sulfate bị oxi hóa một phần thành hợp chất iron (III). Hàm lượng iron (II) sulfate còn lại trong mẫu được xác định thông qua phản ứng với dung dịch thuốc tím có nồng độ đã biết:
10FeSO4 + 2KMnO4 + 8H2SO4 → 5Fe2(SO4)3 + K2SO4 + 2MnSO4 + 8H2O