Bài học Lí thuyết toán 12: Bất phương trình lôgarit giới thiệu cho các em khái niệm bất phương trình lôgarit cơ bản và cách giải bất phương trình lôgarit. Bên cạnh đó là các ví dụ bài tập có lời giải chi tiết giúp các em dễ dàng ôn tập củng cố.
- Trường hợp
, ta có:
![]()
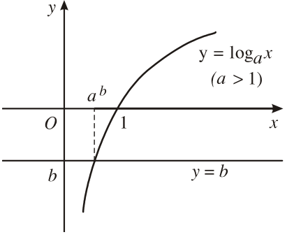
- Trường hợp
, ta có:
![]()
Ví dụ: Điều kiện xác định của bất phương trình
là?
Giải:
BPT xác định khi:
.
Ta minh họa bằng đồ thị như sau.


Quan sát đồ thị, ta thấy rằng:
![]()
![]()
Ví dụ: Tìm tập nghiệm của Bất phương trình ![]()
Giải:
+) Xét:
![]()
![]()
Cộng vế với vế của (1) và (2) ta được: ![]()
Mà BPT:
nên ![]()
+) Xét:
![]()
![]()
Cộng vế với vế của (3) và (4) ta được: ![]()
Vậy
hay
.